上海滬工閥門廠(集團)有限公司
摘要:針對球閥中液流流動情況提出了計算球閥收縮系數 μ 的簡化模型及流量系數計算方法,并進行了實驗分析。
關鍵詞:球閥;收縮系數μ;流量系數;模型
1 前言
球閥由于密封性好、無滯后現象、工作壓力高、對污染不敏感、制造簡單、故障少,近來受到人們的青睞,廣泛應用在各種液壓系統中。
球閥就其性能評價指標而言,壓力流量特性無疑是衡量其工作特性的一個重要指標。球閥出流流量與進出口壓差關系可用下式表征:
![]()
式中:C——流量系數;Ax——閥口過流面積;△P——閥進出口壓差;ρ——流體密度。
從式(1)中可以看出,在流動介質確定的情況下,Q 與 △P 的關系取決于 C 與 A。A 可由閥門結構幾何特性決定。C 是一個十分復雜的量,它與液流流動狀態、閥的幾何結構等因素有關,它的確定大多數依賴于實驗方法。目前還沒有計算球閥流量系數的理論計算式和通用的經驗或半經驗公式,這給球閥的設計與應用帶來很大不便。為了填補這方而欠缺,從液流流動機理出發,提出球閥流量系數計算簡化模型就顯得尤為重要。
2 流量系數的確定
流量系數的大小實際上反映了孔口出流時阻力的損失及過流斷而的減少對出流流量的綜合影響,可用下式表示:
![]()
式中:φ——流體出流流速系數;μ——收縮系數。
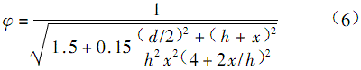
(1) 流速系數的計算
根據文獻《流體力學及流體機械》,可得下式:
![]()
式中:ξ——局部阻力系數

圖 1 球閥結構
對于圖 1 情況,根據文獻《機械設計手冊(第四卷)》:
![]()
式中:A——入口截面積
它們的計算公式如下:

式中:d——閥座孔直徑;x——閥芯升高量;R——鋼球直徑。
因此,流速系數可按下式計算:

(2) 收縮系數 μ 的計算簡化模型
如圖 1 所示,液流經過閥座與鋼球之間間隙流出,由附面層理論可知,出流在鋼球迎面前半球面不可能發生分離現象,而在閥座 A 點有可能出現分離或流線改變方向引起過流斷面收縮。從這個機理出發,可把流經閥口縫隙的流動分成兩部分,一部分沿過道壁流動,另一部分沿鋼球壁而流動。沿過道壁而流動的流體,由于壁面形狀改變出現尖角,引起流線方向的突然改變,在閥座邊緣側出現流體過流斷面的收縮,而沿鋼球一側的流動不會出現收縮現象。因此流經鋼球與閥座之間的流動實際上是外側收縮內側不收縮的環形流。由于環形縫隙流縫隙相對很小,根據縫隙流理論,它可以展開成兩平板間縫隙流。再由于其存在外側面收縮現象,因此可以簡化成如圖 2 所示的無底坎閘孔出流流動模型,對應尺寸如圖 2。

圖 2 球閥內液流簡化模型
其環形流外側收縮系數可按閘孔出流情況計算選取。
閘口流收縮系數 μ 可用儒可夫斯基理論分析方法求值,如表 1 所示。
因此流量系數 C 可根據式(5)與表 1 計算。
| 2x/d | 0.10 | 0.20 | 0.30 | 0.35 | 0.40 | 0.45 | 0.50 | 0.55 | 0.60 | 0.65 | 0.70 | 0.75 |
|---|---|---|---|---|---|---|---|---|---|---|---|---|
| μ | 0.615 | 0.620 | 0.625 | 0.628 | 0.630 | 0.638 | 0.645 | 0.650 | 0.660 | 0.675 | 0.690 | 0.705 |
3 實驗研究
嚴格地講,球閥流量系數 C 與雷諾數 Re(Re=Q/4dv)有密切關系,C 隨 Re 的變化可以寫成如下關系式:
![]()
式中:K、n 為系數、指數,與閥結構形狀等有關。
研究表明,Re 存在臨界值 Rec,并且 Re 隨比值 d/(2R) 增大而變大。當 Re 超過 Rec 后,C 不隨 Re 變化,而趨于常數。一般來講 Rec 往往很小,而球閥在正常工作時 Re 遠大于 Rec。因此可以認為在工作狀態下,C 是常數。
為了驗證模型的有效性及 Rec 與閥的幾何尺寸關系,我們對不同幾何參數的球閥進行了實驗研究得出,在 Re 大于 Rec 后,模型的計算結果與實驗結果吻合良好。
4 結論
(1) 球閥流量系數在很小范圍內隨 Re 變化,Re 存在臨界值 Rec,當 Re > Rec時,C 趨于常數。
(2) 在 Re > Rec 時,木文模型計算結果與實驗值吻合良好,因此可用該模型計算球閥流量系數。